Archives of Depression and Anxiety
1Genetic Counseling Service (CCGO), Institute of Oncology of Southern Switzerland (IOSI)
2Department of Statistics and Quantitative Methods, University of Milan-Bicocca, Milan, Italy,
3Clinical Trial Unit of the Ente Ospedaliero Cantonale (EOC)
4European Institute of Oncology, Milan, Italy (IEO)
5Breast Unit of Southern Switzerland (CSSI)
Cite this as
Lascio SD, Scaffidi E, Bagnardi V, Taborelli M, Micheli GB, et al. (2017) Is genetic counseling for cancer predisposition always associated with distress? A pre-post intervention study to assess probands’ pre-and post-counseling level of anxiety and satisfaction. Arch Depress Anxiety. 2017; 3(2): 030-037. Available from: 10.17352/2455-5460.000020
Copyright License
© 2017 Lascio SD, et al. This is an open-access article distributed under the terms of the Creative Commons Attribution License, which permits unrestricted use, distribution, and reproduction in any medium, provided the original author and source are credited.Genetic counseling for cancer predisposition is associated with a potentially underestimated emotional impact. The Genetic Counseling Service of the Institute of Oncology of Southern Switzerland evaluated the degree of anxiety before and after counseling and its correlation with the level of satisfaction of counselees.
The STAI (State-Trait Anxiety Inventory) questionnaire was submitted to 80 counselees to measure trait (constitutive) and state (contingent) anxiety. It was submitted before and at the end of the first interview. A specific questionnaire named genetic counseling satisfaction (GCS), was developed to evaluate the quality of information, submitted to counselees at the end of the first meeting. The mean state and trait anxiety levels before the interview were respectively 41.4 and 40.7. The mean decrease after the interview was 4.3 for state anxiety (p<0.0001) and 1.2 (p=0.0054) for trait anxiety. The GCS showed that most counselees appreciated the clarity of information (85%) and the simple and understandable terminology used during counseling (88%). Higher levels of satisfaction were associated with higher level of state anxiety reduction (ρ=-0.23, p=0.03).
Genetic counseling slightly impacts trait anxiety but results in an important reduction in state anxiety. The satisfaction from the interview influences the reduction of state anxiety associated with genetic counseling for cancer predisposition
Approximately 5-10% of all breast cancers (BC) and about 3% of all colorectal cancers (CRC) are related to inherited genetic defaults [1]. Genetic testing became available for BC patients and their families after the identification of two BC susceptibility genes, BRCA1 and BRCA2. Inherited BRCA1/2 mutations are associated with an increased risk of both breast and ovarian cancer [2]. Patients harboring inherited predisposition to CRC (Lynch Syndrome) can be identified by both a microsatellite instability (MSI) test and an immunohistochemistry analysis for mismatch repair (MMR) genes, performed on CRC tumor DNA. In Lynch syndrome, almost all CRCs show high (positive) MSI [3-6]. Psychological distress after BC diagnosis and treatment has been well recognized and investigated. Psychological distress was reported in 20-30% of BC patients within the first year after diagnosis [7]. Burgess identified anxiety, depression or both in nearly 50% of BC patients in the year following the diagnosis [8]. In addition, high frequency of intrusive thoughts and negation were noted in 18% and 14 % of BC patients six weeks after surgery, respectively [9]. Moderate distress has been reported in patients with stage I/II CRC [10]. Cancer genetic counseling (GC) allows to identify individuals at increased risk for hereditary breast/ovarian cancer and Lynch Syndrome and to plan surveillance programs and cancer reduction strategies [11,1]. The psychological impact of GC and testing on unaffected women with a family history of BC has been widely studied. Non-carriers derive psychological benefit from genetic testing, while no adverse effects are observed among gene carriers [12]. In a multicenter study on the psychological impact in patients recently diagnosed with CRC, disclosure of the MSI test result was not followed by high levels of distress in the majority of patients [13].
A growing number of women undergoes GC to assess genetic predisposition to breast/ovarian cancer. Several studies show women at high BC risk due to hereditary predisposition better adhere to surveillance programs and preventive strategies recommended after GC and positive test results [14-19]. The patient-doctor relationship also proved to be important to support high-risk patients and increase their compliance to risk managing recommendations [19,20]. On the contrary, women who tested negative experienced a significant reduction in the perceived BC risk [21] which was associated with decreased adherence to the suggested check-up program [22,23]. This attitude in mutation negative subjects was confirmed in the 3 years following genetic testing in ≥50 year’s old women [24]. In other series, GC and testing, regardless of their results, induce women to undergo mammography controls as compared to clinical or self-breast examination [20,14,15]. While substantial evidence is available on the short term (≤1 year) effect of genetic testing on adherence to surveillance and prevention strategies, few studies addressed the long-term impact [15,27,24]. The impact of genetic testing on prophylactic mastectomy and the related reduction on BC incidence is less clear [24,17,25,26].
From a psychological perspective, few studies explored the influence of genetic testing on acute distress in mutation negative/positive women. Some studies report a steady pre- and post-testing distress both in mutated and non-mutated subjects either in the year immediately following testing or in subsequent years [23,24,15]. Van Oostrom [27], on the contrary, suggests increased anxiety and depression several years after testing both in mutation positive and negative women. Butow [28], reports mutation carriers do not experience a significant increase in depression and anxiety, while women who tested negative feel released. In addition, while some studies found that anxiety and risk perception are associated with increased frequency of check-ups [29], others did not demonstrate this correlation [21].
Little is known about the acute psychological impact of genetic testing on BC patients who undergo DNA testing. The evidence available suggests that BC patients diagnosed <1 year before testing experienced high anxiety and BC-specific distress prior to GC and more depression after testing than patients assessed long term after diagnosis [30]. Patients diagnosed <1 year before testing seemed as interested as patients diagnosed >1 year before testing and showed more interest when advised by a physician [31]. So far, psychological distress during GC after a recent BC diagnosis and treatment has not been fully assessed.
The central role of communication in the relationship between patients and caregivers is well recognized. In some fields of healthcare, such as Phase I studies and GC, the increased fragility and vulnerability of the specific context mandates a special emphasis on communication aspects. The informative and relational dimensions of the complex approach to cancer predisposition can potentially impact the quality of life of patients and healthy subjects attending a cancer genetic service and possibly contribute to their level of distress and psychic suffering. Assessment of both cancer predisposition understanding and its psychological impact is therefore needed to allow more tailored and effective patient-doctor communication in this sensitive field.
In previous research projects in Phase I studies, we assessed the quality of the information given [32,33] in patients and families, concluding that it’s possible to provide clear and correct information even in difficult situations. These studies have also shown that the way information is provided influences the comprehension of the risk, the related fears and concerns and the level of anxiety. These aspects have been rarely investigated in the GC area: in particular, no prospective data is available on both the informative and anxiety domains and their possible correlations.
We investigated the informative and relational aspects that potentially influence the quality of life of individuals undergoing GC at the Genetic Counseling Service (CCGO) of the Institute of Oncology of Southern Switzerland (IOSI). Our aim was first to check the quality of the information process and then create a model for managing the counseling process while limiting the level of stress and psychic suffering.
People involved in this study were patients or unaffected with a strong familiar cancer history or clinical elements suspicious for genetic predisposition to cancer. They received a first interview in person and individual with an oncologist and a psychologist or a geneticist and after that, based on the results of multidisciplinary discussion between oncologist and geneticist, eventually performed genetic test. The interview with patients were taken after acute treatment phase and in condition of clinical wellness, if possible.
At the time of this study, the GC process included a first interview in hospital, of about one hour, between the proband (patient or unaffected) and, depending on the predisposition syndrome, the oncologist and the psychologist (mainly breast/ovarian families) or the geneticist (mainly colorectal cancer). This difference was originally decided based on the typology of counselees, as subjects with a predisposition to breast/ovarian cancer were mainly unaffected and those with a predisposition to CRC were mainly patients. After collecting data on personal and family history and explaining the meaning of frequency, absolute and relative risk and the management of the information for an adequate prevention, the family tree of the proband is designed and the mutation risk calculated using mathematical models (BRCAPRO) [34]. All the cases are then discussed multidisciplinary with the geneticist. If the overall assessment clearly demonstrates the absence of the minimum criteria to propose genetic testing, the GC process is concluded with a second explanatory interview. If a significant mutation probability is detected, the second meeting is a critical step, as the possibility of genetic testing is discussed with the counselee. In the present study, all individuals were given two different self-compilation instruments:
1. The STAI (State-Trait Anxiety Inventory) [35], to evaluate both state and trait anxiety
2. A questionnaire developed by the unit (GCS) to evaluate the consultation, specifically focused on the subject’s perceived quality of the information received.
The validated STAI questionnaire consists of 40 multiple-choice questions with four response options: each item, worded either positively (e.g., ‘I feel calm’) or negatively (e.g., ‘I feel strained’), measures how respondents feel on a four-point scale (from 1, ‘not at all’ to 4, ‘very much so’). Scores range from 20 to 80, with higher scores indicating greater anxiety.
The 20 first questions provide indication on the anxiety perceived during the compilation (state anxiety) and are therefore affected by the specific context. The additional 20 questions provide information about the individual anxiety characteristics which are therefore not influenced by the contextual situation (trait anxiety).
The GCS questionnaire was developed by the two psychologists of the unit and consists of 25 items. The development of the questionnaire included several phases: the instrument was built based on the theoretical model of Merweein [36], which assesses the quality of the interview taking into account its informative, affective and interactive dimension, and also focuses on some aspects related to the specific context, in this case the identification of cancer genetic risk. The model has already been used in the research projects assessing information in Phase I trials [32,33]. During the drafting of the questionnaire we found difficult to attribute some of the items either to the emotional or the interactive dimension and we decided to merge those questions in a single dimension, called relational. The first version of GCS consisted of 33 questions: 15 on the informative dimension, 10 on the relational dimension, 8 concerning the centrality of the subject at risk. The level of satisfaction has been measured, for each question, according to a 0-1 score (1 recording high satisfaction, 0 grouping together dissatisfaction and partial satisfaction). The level of global satisfaction has been calculated by summing the individual total questions’ scores, to a three escalating scale of global satisfaction (low <18, medium 18-20, high >20 points). In addition, we calculated the relationship between the answer to each question and the changes in the level of anxiety before and after GC.
Counseling sessions and surveys have been conducted in Italian language, native tongue for all subjects involved.
Based on the development model of the EORTC quality-of-life questionnaires, the initial version was reviewed by the medical and coordinating staff taking part, in different ways, at the GC process (2 oncologists, 2 psychologists, 1 geneticist, 1 data manager/coordinator). The questionnaire was also tested in 20 subjects who undertook GC, who were asked to make comments and suggest changes. After discussion within the team, some questions were deleted and/or reformulated, leading to the definitive version of 25 items (Appendix 1).
The STAI and the final version of the GCS was administered to 100 consecutive individuals referring to the CCGO.
Step 1: The counselee received at home a presentation letter from the CCGO and the appointment details together with the first STAI questionnaire. The purpose of this initial administration was to assess the counselee’s state and trait anxiety in a condition of relative neutrality (baseline). The CCGO coordinator checked that the counselee returned the completed questionnaire in a sealed envelope before the first interview. The counselee was not informed on purpose about the STAI questionnaire before receiving it at home to avoid any possible influence on her/his answers.
Step 2: At the end of the first interview, the counselee received the GCS questionnaire together with a 2nd STAI: in this way, any difference in the degree of the state anxiety compared to the baseline could be related to the GC interview. The counselee was not informed in advance he/she will be asked to complete both questionnaires at the end of the interview not to affect in any way the answers.
After the collection of the questionnaires was completed, the CCGO approached the Institute of Communication and Health (ICH) of the Faculty of Communication Science at the University of Southern Switzerland (USI) to analyze the results. As no previous research in the field included all the different areas investigated in the current research project, ICH first conducted a qualitative analysis of the instrument in a selected number of counselees (data not shown) that allowed to identify its weaknesses and propose possible adjustments.
The study was approved by the Institutional Ethical Committee. Participants signed an informed consent.
The eligibility criteria were: age ≥18 years, patients with BC or CRC or healthy relatives.
Differences in the distribution of subject characteristics between affected and unaffected probands were evaluated by the Chi-square test. Changes in subject-specific anxiety levels before and after GC were compared using the paired T-test. Baseline anxiety levels and changes before and after GC were compared among groups by the analysis of variance. The relationships between changes in individual state- and trait-anxiety levels and between the perceived quality of the information received during the GC and anxiety level changes were evaluated by the Pearson correlation coefficient (ρ).
When this project was planned, no formal sample size calculation and power analysis was performed. However, a post hoc power calculation showed that this study (sample size=80) had adequate statistical power (>80%) to detect an overall mean change from baseline of anxiety levels greater than 2 points, assuming a standard deviation of the change equal to 6 and a two-sided 5% type I error rate.
Regarding the difference between two subgroups, the minimum detectable difference at 80% power was 3.4 points (assuming SD=6, two sided 5% type I error rate and balanced subgroups).
From June 2004 to March 2007, 100 consecutive probands (55 patients and 45 unaffected) undergoing GC were given both the CGS and the STAI. Respondents who completed all questionnaires were considered evaluable, for a total of 80 subjects (44 patients and 36 unaffected). The characteristics of the population are summarized in table 1. Age ranged from 18 to 75 years, with 27.5% of patients <40 years old. Counselee were sent mainly (76.3%) by medical specialist, i.e. gynecologists, oncologists, gastroenterologists. Seventy-four percent of consultants were female (21.3% counseling for breast/ovarian cancer). Sixty-two percent had high-school instruction, 32.5% a university degree.
The mean baseline values of state and trait anxiety were evaluated according to age, sex, level of education, presence or absence of the psychologist during the interviews, the specialty of the referring physician, the type of predisposition syndrome and the belonging to the patient or unaffected group.
The assessment of the trait anxiety before GC does not show significant differences between affected and unaffected counselees (score 40.2 vs. 41.2, respectively), between women and men (41.0 vs. 39.8, respectively) and by age group (18-39 years: score 42.2, 40-49 years: score 39.7, 50-75 years: score 40.4).
The baseline values found in our sample are within the average levels of the European population, indicating uniformity of our population to the average variability of the general population. (Table 2).
Overall, there is also no statistically significant difference in the distribution of baseline levels of state and trait anxiety in all the subgroups examined: only the counselees with primary education show higher trait anxiety (score 46) compared to those with middle school (score 43), high school (score 37) or university (score 42) degrees.
The state anxiety is not distributed differently than trait anxiety according to the typology of counselees (affect and unaffected), sex, and age. Regarding the level of education, subjects with primary education reached a higher score (50.7), compared to those with secondary school (42.7), high school (37.4) and university (42.5) degrees.
Interestingly, counselees who appreciated the presence of the psychologist during the interview, reported a slightly higher level of state anxiety than those who did not.
Overall, the mean decrease for state anxiety was 4.3 (p<0.0001) and 1.2 for trait anxiety (p=0.01). The 2nd STAI questionnaire, submitted after the 1st interview, showed a modest reduction in the level of trait anxiety (-1.2 overall, p=0.0054) and an important reduction in state anxiety (-4.3 overall, p<0.0001) (Figure 1). The correlation between the reduction of both state and trait anxiety was statistically significant p=0.0009, ρ 0.36.
The reduction of both types of anxiety was not significantly different among different subgroups (Table 3); however, there is a trend towards a more consistent reduction in state anxiety in patients sent by the family doctor than by any of the specialists.
At the end of the 1st interview the counselees received the questionnaire to assess the level of satisfaction with the conversation.
The median global satisfaction score, determined by adding one point for each answer indicating a positive satisfaction, was 19 (range 8-25).
Overall, 66.3% of the respondents reported a medium- to high level of satisfaction with the interview, which is confirmed by the extreme satisfaction expressed by the 81.2% of the probands (question 18). More specifically, the counselees appreciated: 1) the clarity of the information received (85%, question 6); 2) the possibility to openly ask questions (87.5% - question 8 and 90.0% - question 10); 3) the lack of difficult terminology or intrusive questions during the conversation (87.5%, question 9, 97.5% question 11, respectively); 4) the pleasant atmosphere despite the difficult topics addressed (78.7%, question 12). The questions primarily focusing on the informative level (question 15, 17, 21-23) show the great majority of counselees received the relevant information they needed (80%), with no excessive details (95.0%) or additional data required (96,2%), and understood the reasons why they were asked specific questions during the interview (78.7%). Only 19% of the probands would have also desired a written information. When evaluating the more complex concept of increased genetic cancer risk, 66.2% and 77.7% of the probands understood the aims and indications of genetic testing (question 20a and 20b, respectively), 70.0% realized the consequences of testing (question 20c) and 85.0% correctly understood the interview was not going to clarify by itself the individual cancer risk (question 25). From a psychological and emotional perspective, 71.2% of the probands were still worried after the interview (question 18), which, in our opinion, could be related not to anxiety but instead to the increased awareness, as outlined by the high proportion of respondents (72.5%) who declared the specific information on genetic testing did not increase their concern (question 16) and confirmed by the results of the STAI questionnaire. Nevertheless, 90.0% of the counselees wanted to know if an hereditary cancer risk was present in their family (question 26), despite a comparable or even increased fear measured after the consultation in 75% of the respondents (question 24).
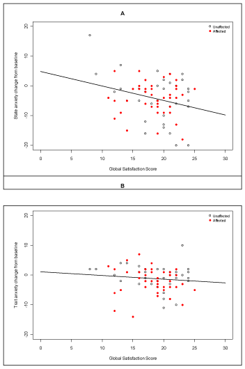
Higher levels of satisfaction were associated with higher levels of state anxiety reduction (ρ=-0.23, p=0.03) but not with higher levels of trait anxiety reduction (ρ=-0.08, p=0.42) (Figure 2).
Overall, the implemented instrument to assess the quality of the information provided during the GC process has been very well quoted by responders, both affected and not affected, who found it quick and easy to be filled and with no unclear, intrusive, or repetitive questions. A high proportion of probands (66.2%) seemed to fully understand the implications of GC and subsequent genetic testing. Eighty-seventy-five percent of the participants said they could ask any questions during the counseling and 81.2% reported complete satisfaction with the consultation process. Data also show a high degree of satisfaction in terms of well-being during the consultation, clarity and understanding of the information given.
Our working hypothesis was based on the idea that a substantial degree of anxiety is associated with the cancer genetic consultation, due to the intrinsic difficulty of the topic (hereditary predisposition to cancer), having counselees only a rough idea of the concept of risk, and ignoring the way GC is performed. This is confirmed by the answers to the question assessing whether, before the GC interview, the counselee had a precise idea of what he/she was going to face; only 8.7% of respondents answered positively and only 37.5% of the sample received a clear explanation regarding the GC process from the physician who addressed them to CCGO. The influence on state-anxiety of the provided information and the consequent increased awareness of the GC process is also confirmed by the fact that consultants who have been addressed to the genetic service by a specialist are generally less anxious than those addressed by their general practitioner. This finding can possibly be explained by the different level of pre-counseling information provided by the specialist, who has in principle greater knowledge of the clinical and psychological implications of genetic counseling.
Trait-anxiety before the genetic counseling, as assessed by the STAI, did not show a substantial difference between affected and non-affected counselees and according to gender and age, with just a slight difference based on the education level, primary school respondents resulting more anxious. In addition, state-anxiety was also not differently distributed at baseline with regard to the type of counselee (affected/non affected), gender and age, but primary school responders showed a higher level before consultation. We think these result are possibly influenced by the idea to be exposed to an unknown and complex situation. It is also interesting to notice that those preferring the presence of the psychologist in the GC team report a level of state-anxiety slightly higher than those who did not appreciate it. This increased state anxiety could be related to the counselee perception that the psychologist was present in view of the emotionally challenging content of the interview, requiring intellectual and decisional skills superior to his/her capabilities. As a consequence, the psychologist was favorably considered an additional support provided by the CCGO.
We also believed that once the difficult concepts pertaining to GC have been understood and the interviews properly conducted, respondents’ anxiety should decrease. Results showed a slight decrease of trait-anxiety after the genetic counseling interviews, because this kind of anxiety is less dependent on the contingent situation and mainly determined by the structure of personality of each single individual. Even after only one encounter we have seen the therapeutic effect of a clarifying meeting on trait-anxiety. In a more consistent way, state-anxiety, which is more directly determined by the present situation (i.e. GC), resulted to be decreased. In particular, we found that the distress caused by the unconsciousness of the content of the interview and its implications was reduced after the interview took place. This implies that the counselees received extensive and clear information which mitigated their trait and state anxiety.
Globally, there is not a striking decrease of the level of anxiety before and after the GC, but respondents who reported a higher satisfaction for the interview showed to be less anxious after the consultation. This endorses our baseline hypothesis that clarity and degree of information is of paramount importance when dealing with complex medical information and possibly influence state anxiety which can be modified by external events. In principle, the questionnaire used in this study can be a valuable tool for assessing the quality of a counseling service: a clear information, increasing subjects’ awareness, results in a significant reduction in the level of anxiety of both affected and unaffected probands who undergo GC.
The cooperation between the CCGO and the ICH led to the identification of some weaknesses of the approach and in particular of the CGS:
1) In the case of an affected respondent, who could be already overloaded by other surveys in the different phases of the disease, a shorter version of the instrument could be helpful
2) A graphic revision of the questionnaire, in order to ease the respondent, can also be helpful
3) Some questions are unilateral: just one possibility of answer is given to respondents without including the opposite option as well. For instance, the question “Did you easily collect the information regarding your family?” could have been formulated as “Did you easily collect the information regarding your family or not?”. This bilateral formulation introduce in the respondent’s mind the idea that both answers can be acceptable.
4) Some questions presume by the respondents specific feelings before and after the consultation: what should the counselee answer whether he/she did not feel those emotions?
5) The questionnaire includes a few similar questions which do not increase the information on the investigated variable. Some of these questions could therefore be pooled in a single more relevant question;
6) The analysis allowed to draw the profile of the standard counselee (mostly unprepared by the referral physician, confident, calm) and to make some practical changes to the GC process. This qualitative analysis brought to reconsider how to prepare and organize the interview. Counselees are now routinely verbally informed by the CCGO coordinator on the way the consultation will be structured, receive at home a family tree to fill in advance and a summary leaflet to take home after the 1st interview.
The next planned step includes the integration of the information gained from both the quantitative and qualitative analysis of the data and the emerged weaknesses of the questionnaire (type and formulation of some questions) to develop a new tool: a new version of the questionnaire has been created and will be submitted for future analysis in cooperation with other genetic counseling services of Northern Italy.
We thank the probands who agreed to participate to this project.
We thank the Institute of Communication and Health (ICH) of the Faculty of Communication Science at the University of Southern Switzerland (USI) for collaboration.
This work was funded by the Advisory Board of the Scientific Research of the Ente Ospedaliero Cantonale (ABREOC).
Subscribe to our articles alerts and stay tuned.
This work is licensed under a Creative Commons Attribution 4.0 International License.

If you are already a member of our network and need to keep track of any developments regarding a question you have already submitted, click "take me to my Query."